Binomial distribution
In this post i am going to share my own handwritten notes of binomial distribution.
I have also uploaded many videos on various discrete distributions on my YouTube channel study nutz......link👉 https://youtube.com/channel/UC0MOc_xiE45t5TzjrJG7wGA
If you like my YouTube channel pls 🙏like share and subscribe.
And if you have any doubt in calculations...pls ask me in comments...i will definitely solve your problems
1#.Definition of Probability mass function ( p.m.f)
Parameters and notation
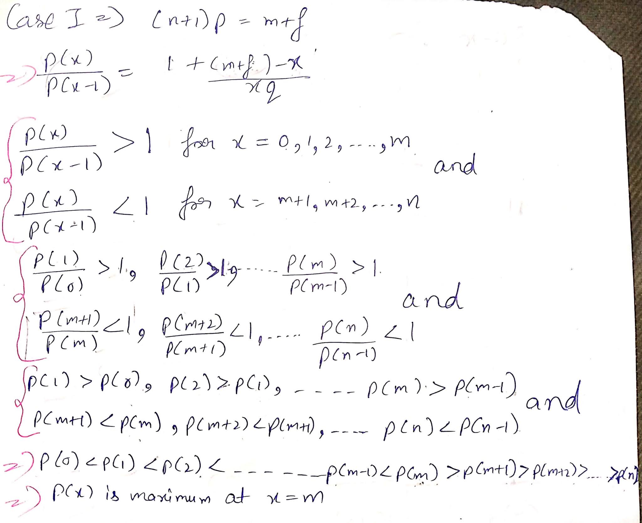
2# Physical conditions for binomial distribution
3# Moments about origin
Well all these moments about origin can be easily calculated by learning 3 steps...which i had explained in my YouTube vedeo and link of that video is given in end of this blog post...so pls watch
First moment about origin
Second moment about origin
Third moment about origin
Fourth moment about origin
So now rest of moments about mean and coefficients of skewness and kurtosis can be easily calculated form these formulas
4# Additive property
5# Recurrence relation for probabilities of binomial distribution or for fitting of binomial distribution
7# Moment generating function about origin and moment generating function about mean























Comments
Post a Comment