Poisson distribution
In this post i am going to share my own handwritten notes of Poisson distribution.
I have also uploaded many videos on various discrete distributions on my YouTube channel study nutz......link👉 https://youtube.com/channel/UC0MOc_xiE45t5TzjrJG7wGA
If you like my YouTube channel pls 🙏like share and subscribe.
And if you have any doubt in calculations...pls ask me in comments...i will definitely solve your problems
Probability mass function of Poisson distribution
2# Moments about origin of Poisson distribution
Coefficient of skewness and kurtosis of Poisson distribution
3# Recurrence formula for probabilities of Poisson distribution
Or
Fitting of Poisson distribution
4# Cumulant generating function and Cumulants i.e k1,k2,k3,k4 of Poisson distribution
Or finding moments about mean and coefficient of skewness i.e. B1,B2 of Poisson distribution from cumulant generating function
5# Additive or reccurence property of Poisson distribution
6# Mode of Poisson distribution
7# Reccurence relation for moments about mean of Poisson distribution
8# moment generating function and characteristic function and probability generating function of Poisson distribution
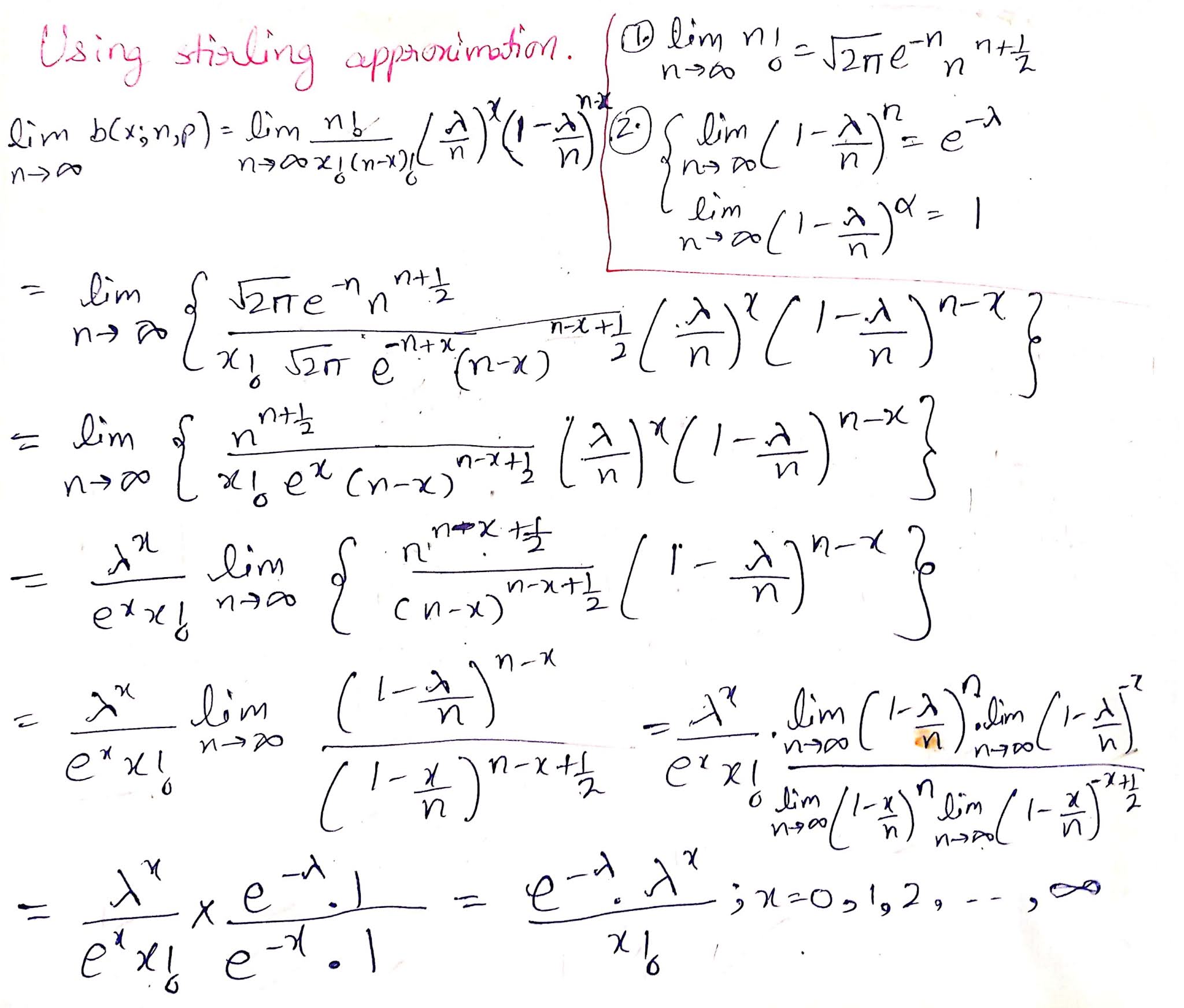
9# Poisson distribution as a limiting case of binomial distribution
Also please watch Oral explanation of these articles on my YouTube channel videos👇👇



















Comments
Post a Comment